一、学生背景
学生姓名:张同学
成绩概况:85+
所学专业:中学在读
就读学校:Alphington Grammar(澳洲私立中学)
录取专业:10年级
留学层级:高中
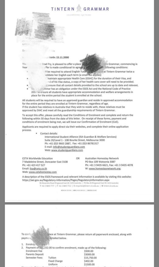
录取结果:Strathcona Baptist Girls Grammar School;Tintern Grammar
二、申请难点分析
1.学生在澳洲已经读了一所私立院校,并且转过一次学了,因为之前的AEAS 成绩没达到要求
2.学生AEAS 成绩是56分,分数中等
3.学生在澳洲,学校给了面试环节,避免了再次考AEAS
三、申请思路及专家分析
学生张同学在澳洲读了私立中学的语言中心,已经读了半年,但是读完语言之后,衔接的高中学校要求学生必须考AEAS ,由于学生考试失误,没有考到学校要求
其次,他被主课学校退学了,找了澳洲当地的中介申请了一所私立院校,是中介直接给学生推荐的,学生认为这所学校排名和设施都不是自己理想中的学校,所以找我瑞鹏留学网老师,提供要再一次换学校,这边帮助他操作申请学校,学校来offer大概周期是2-3周,两所学校都录取了,录取之后需要现在学校提供“释放信”才能正式的算转学完成。
申请私立中学的同学们,想尽早出去,最快速度的拿到offer
